Set the coefficients of germanium kinetics.
SYNOPSIS
- germanium
-
( silicon | oxide | oxynit | nitride | gas | poly | gaas )
[ Dix.0 = n ] [ Dix.E = n ]
[ Dim.0 = n ] [ Dim.E = n ]
[ Dimm.0 = n ] [ Dimm.E = n ]
[ Fi = n ]
[ implanted ] [ grown.in ]
[ ss.clear ] [ ss.temp = n ] [ ss.conc = n ]
[ ( /silicon | /oxide | /oxynitr | /nitride | /gas | /poly | /gaas ) ]
[ Seg.0 = n ] [ Seg.E = n ]
[ Trn.0 = n ] [ Trn.E = n ]
[ ( donor | acceptor ) ]
DESCRIPTION
This statement allows the user to specify values for coefficients of germanium diffusion and segregation. The diffusion equation for germanium is:
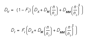
where CT and CA are the total chemical and active concentrations of germanium, CV and CI are the vacancy and interstitial concentrations, the superscript * refers to the equilibrium concentration, DV and DI are the diffusivities with vacancies and interstitials, and n and ni refer to the electron concentration and the intrinsic concentration respectively. The diffusivities are given by:
DX, DM, and DMM are described in greater detail below.
The segregation at material interfaces is computed using the following expression:
where C1 and C2 are the concentrations in material 1 and 2 respectively, and the M12 and Tr terms are computed using expressions shown below with the parameters of the models.
- silicon, oxide, oxynitr, nitride, gas, poly, gaas
- These allow the specification of parameters for that material. Only one of these can be specified per statement. The parameters specified in that statement will apply in the material listed. These parameters specify which material is material 1 for the segregation terms.
- Dix.0, Dix.E
- These floating point parameters allow the specification of the germanium diffusing with neutral defects. Dix.0 is the pre-exponential constant and Dix.E is the activation energy. Dix.0 defaults to 0.0 cm2/sec in gallium arsenide, and Dix.E defaults to 0.0 eV in gallium arsenide. DX is calculated using a standard Arrhenius relationship.
- Dim.0, Dim.E
- These floating point parameters allow the specification of the germanium diffusing with singly negative defects. Dim.0 is the pre-exponential constant and Dim.E is the activation energy. Dim.0 defaults to 0.0 cm2/sec in gallium arsenide, and Dim.E defaults to 0.0 eV in gallium arsenide. DM is calculated using a standard Arrhenius relationship.
- Dimm.0, Dimm.E
- These floating point parameters allow the specification of the germanium diffusing with doubly negative defects. Dimm.0 is the pre-exponential constant and Dimm.E is the activation energy. Dimm.0 defaults to 1.1E-3 cm2/sec in gallium arsenide, and Dimm.E defaults to 2.9 eV in gallium arsenide [1,2]. DMM is calculated using a standard Arrhenius relationship.
- Fi
- This parameter allows the specification of the fractional interstitialcy. This value indicates whether germanium diffuses through interaction with interstitials or vacancies. The value of Fi defaults to 0.0.
- implanted, grown.in
- Specifies whether the Dix, Dim, Dimm, or Fi coefficients apply to implanted or grown-in germanium. If neither is specified then a specified parameter applies to both.
- ss.clear
- This parameter clears the currently stored solid solubility data.
- ss.temp, ss.conc
- These parameters add a single temperature solid solubility concentration point to those already stored. The default values are
- /silicon, /oxide, /oxynit, /nitride, /gas, /poly, /gaas
- These parameters specify material 2. Only one of the these parameters can be specified at one time.
- Seg.0, Seg.E
- These parameters allow the computation of the equilibrium segregation concentrations. M12 is calculated using a standard Arrhenius relationship.
- Trn.0, Trn.E
- These parameters allow the specification of the transport velocity across the interface given. The units are in cm/sec. Tr is calculated using a standard Arrhenius relationship.
- donor, acceptor
- These parameters determine whether the impurity is to be treated as a donor or as an acceptor in a semiconductor material. These parameters are not presently material specific. By default, germanium is an donor.
EXAMPLES
- germanium gaas implanted Dimm.0=2.1e-3 Dimm.E=3.1
- This command changes the doubly negative defect diffusivity for implanted germanium in silicon.
- germanium gaas /nitride Seg.0=30.0 Trn.0=1.66e-7 Seg.E=0.0
- This command will change the segregation parameters at the gallium arsenide - silicon nitride interface. The gallium arsenide concentration will be 30.0 times the nitride concentration in equilibrium.
BUGS
As far as the implemented models are physically correct, there are no known bugs.
REFERENCES
- J. D. Plummer et al., "Process Simulators for Si VLSI and High Speed GaAs Devices," Stanford University Technical Report, 1990.
- J. D. Plummer et al., "Process Simulators for Si VLSI and High Speed GaAs Devices," Stanford University Technical Report, 1991.
- E. L. Allen, J. J. Murray, M. D. Deal, J. D. Plummer, K.S.Jones, and W.S. Robert, "Diffusion of Ion-Implanted Group IV Dopants in GaAs," J. Electrochem. Soc., 138, p. 3440, 1991.
SEE ALSO
The antimony
arsenic,
beryllium,
boron,
carbon,
generic,
interstitial,
magnesium,
phosphorus,
selenium,
isilicon,
tin,
vacancy,
and zinc statements.