Set the coefficients of antimony kinetics.
SYNOPSIS
- antimony
- ( silicon | oxide | oxynit | nitride | gas | poly | gaas )
[ Dix.0 = n ] [ Dix.E = n ] [ Dim.0 = n ] [ Dim.E = n ] [ Fi = n ]
[ implanted ] [ grown.in ]
[ ss.clear ] [ ss.temp = n ] [ ss.conc = n ]
[ ( /silicon | /oxide | /oxynitr | /nitride | /gas | /poly | /gaas ) ]
[ Seg.0 = n ] [ Seg.E = n ] [ Trn.0 = n ] [ Trn.E = n ]
[ ( donor | acceptor ) ]
DESCRIPTION
This statement allows the user to specify values for coefficients of antimony diffusion and segregation. The diffusion equation for antimony is [1,2]:
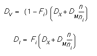
where CT is the total chemical concentration of antimony, CV and CI are the vacancy and interstitial concentrations, the superscript * refers to the equilibrium concentration, DV and DI are the diffusivities with vacancies and interstitials, and n and ni refer to the electron concentration and the intrinsic concentration respectively. The diffusivities are given by:
DX and DM are described in greater detail below.
The segregation at material interfaces is computed using the following expression:
where C1 and C2 are the concentrations in material 1 and 2 respectively, and the M12 and Tr terms are computed using expressions shown below with the parameters of the models.
- silicon, oxide, oxynitr, nitride, gas, poly, gaas
-
These allow the specification of parameters for that material. Only one of these can be specified per statement. The parameters specified in that statement will apply in the material listed. These parameters specify which material is material 1 for the segregation terms.
- Dix.0, Dix.E
-
These floating point parameters allow the specification of the antimony diffusing with neutral defects. Dix.0 is the pre-exponential constant and Dix.E is the activation energy. Dix.0 defaults to 0.214 cm2/sec in silicon, and Dix.E defaults to 3.65 eV in silicon [3]. Dx is calculated using a standard Arrhenius relationship.
- Dim.0, Dim.E
-
These floating point parameters allow the specification of the antimony diffusing with singly negative defects. Dim.0 is the pre-exponential constant and Dim.E is the activation energy. Dim.0 defaults to 15.0 cm2/sec in silicon, and Dim.E defaults to 4.08 eV in silicon [3]. Dm is calculated using a standard Arrhenius relationship.
- Fi
-
This parameter allows the specification of the fractional interstitialcy. This value indicates whether antimony diffuses through interaction with interstitials or vacancies. The value of Fi defaults to 0.05 [4].
- implanted, grown.in
-
Specifies whether the Dix, Dim, or Fi coefficients apply to implanted or grown-in antimony. If neither is specified then a specified parameter applies to both.
- ss.clear
-
This parameter clears the currently stored solid solubility data.
- ss.temp, ss.conc
-
These parameters add a single temperature solid solubility concentration point to those already stored. The default values are [5]:
- /silicon, /oxide, /oxynit, /nitride, /gas, /poly, /gaas
-
These parameters specify material 2. Only one of the these parameters can be specified at one time.
- Seg.0, Seg.E
-
These parameters allow the computation of the equilibrium segregation concentrations. M12 is calculated using a standard Arrhenius relationship.
- Trn.0, Trn.E
-
These parameters allow the specification of the transport velocity across the interface given. The units are in cm/sec. Tr is calculated using a standard Arrhenius relationship.
- donor, acceptor
-
These parameters determine whether the impurity is to be treated as a donor or as an acceptor in a semiconductor material. These parameters are not presently material specific. By default antimony is a donor.
EXAMPLES
- antimony silicon Dix.0=0.214 Dix.E=3.65
- This command changes the neutral defect diffusivity in silicon.
- antimony silicon /oxide Seg.0=30.0 Trn.0=1.66e-7 Seg.E=0.0
- This command will change the segregation parameters at the silicon - silicon dioxide interface. The silicon concentration will be 30.0 times the oxide concentration in equilibrium.
BUGS
As far as the implemented models are physically correct, there are no known bugs.
REFERENCES
- M. E. Law and J. R. Pfiester, "Low Temperature Annealing of Arsenic/Phosphorus Junctions," IEEE Trans. on Elec. Dev., 38(2), p. 278, 1991.
- D. Mathiot and J. C. Pfister, "Dopant Diffusion in Silicon: A consistent view involving nonequilibrium defects," J. Appl. Phys., 55(10), p. 3518, 1984.
- R. B. Fair, "Concentration Profiles of Diffused Dopants in Silicon," Impurity Doping Processes in Silicon, Yang ed., 1981, North-Holland, New York.
- P. Fahey, G. Barbuscia, M. Moslehi and R. W. Dutton, "Kinetics of Thermal Nitridation Processes in the Study of Dopant Diffusion Mechanisms in Silicon," Appl. Phys. Lett., 46(8), p. 784, 1985.
- F. A. Trumbore, "Solid Solubilities of Impurity Elements in Germanium and Silicon," Bell System Tech Journal, 1960.
SEE ALSO
The arsenic,
boron,
interstitial,
phosphorus, and
vacancy statements.